发布时间:2022-05-18 阅读量:1188 来源: 我爱方案网整理 发布人: Aurora
下图是国内某知名无人机企业的2014 年笔试的截图,显示了导航过程中的数据转换的实用性。

在之前的文章中,我介绍了无人机系统自动导航过程中涉及的几个重要坐标系,本文则会跟大家分析在实际的无人机系统中,GPS 的输出数据如何转化为无人机控制需要的状态信息。
GPS输出数据详解

实际的 GPS 系统会以一定格式输出很多数据,如时间,精度因子,卫星编号,信噪比等等,但对于无人机控制而言,最为重要,也是最常使用的还是「经度(Longitude),纬度(Latitude)以及高度(height)」三组数据。
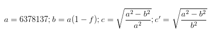
直接通过 GPS 获取的飞行器的位置坐标基于 WGS-84(World Geodetic System-1984)坐标系,简称 Geodetic 或 G 坐标系。

为什么需要单独建立一个坐标系呢?这是由于地球表面地势复杂,有山有海,高低不平。需要建立一个简单而精确的近似数学模型,大家决定采用椭球体作为地球的近似。而 G 坐标系就描述了一个椭球体,给出该椭球体的基本参数:长半轴,短半轴,第一偏心率,第二偏心率,扁率,曲率半径(米):

GPS输出的高度不是海拔(Alt)么?这里怎么是 h 高度呢?GPS 硬件直接获取的高度是相对于 G 坐标系中椭球表面的高度。而海拔是相对于公海平面的高度,与地球表面形状和重力分布相关。相对于大地水准面的高度才是海拔,也就是下图中的H参数。

M(大地水准偏差)作为GPS输出高度h和当地海拔之间的偏差,一般在正负100m以内。

从 Geodetic 到 ECEF 坐标系的数据转换
我们通过 G 坐标系下的三个参数:经度,维度,高度,可以获得飞行器在椭球表面的位置坐标。但进行导航计算时,我们需要把数据换算到 NED 坐标系下。要完成从 G 系到 NED 的数据转换还需要一个过渡过程:G 坐标系到 ECEF 坐标系下的数据转换。

其中 N 是我们常说的曲率半径(m)。通过上面的计算公式就可以实现从 G 坐标系到 ECEF 坐标的数据转换。
从ECEF到NED坐标系的数据转换
对于商用无人机,相比于它在椭球中的信息,我们更关心它在平面中的位置向量、速度向量。将 NED 坐标系看做导航中最重要的坐标系并不为过,NED 坐标系也经常被直接称为导航坐标系(Navigation Coordinate)或者地面坐标系(Ground Coordinate)。

首先要获取 NED 坐标系中的参考原点,一般也就是无人机 GPS 星数达到要求后的起始位置。这也是为什么无人机产品要在星数足够之后才能起飞,试想一下如果起始位置没有定准,就算在飞行过程中星数足够,获取的飞行位置信息也够精确,最后也可能造成一键返航位置与起始位置偏差巨大。
下面给出参考原点的坐标信息以及从 ECEF 到 NED 的转换计算:

从ECEF到NED坐标系的旋转矩阵如下:

结合上面两部分的计算方法,就成功地实现了 GPS 输出的位置数据到 NED 坐标系下的转换。换句话说,我们获得了进行无人机控制器设计所必须的外环位置状态信息。
但外环信息一共有六个,还有三个速度状态呢?通过 GPS 可以获得 ECEF 坐标系下的速度向量。与 G 系类似,相比于飞行器在 ECEF 这个三维坐标系的速度向量,我们更关心相对于 NED 坐标系的速度向量:


在任何数字电子系统中,时钟信号都扮演着“心脏起搏器”的角色。
RTC晶振与普通32.768kHz晶振的PCB设计要点基本一致,其核心均在于通过优化布线以降低杂散电容、确保频率精度,并依托合理的布局规划最大限度屏蔽来自板上其他信号源的电磁干扰。
按晶振的功能和实现技术的不同,分为温度补偿晶振(TCXO)、压控晶振(VCXO)、恒温晶振(OCXO)。
为了在性能与功耗之间取得最佳平衡,需要根据具体应用场景,对基准时钟进行相应的分频、倍频或转换处理,从而为各模块提供适宜的时钟信号。此时,分频技术就成为连接晶振基准频率与系统需求的关键,通过数字电路将晶振原始频率按固定比例降低,输出符合要求的低频时钟信号。
RTC芯片是一种专门用于精准计时、掉电续时的专用集成电路,其核心功能是提供精准、稳定的时间信息(包括秒、分、时、日、月、周、年),并能在主电源断电后依靠备用电池继续保持计时,从而确保时间持续不间断。